债券久期概念及其计算公式&债券知识
2020/7/5 12:20:01
在债券投资过程中,很多投资者们都听说过“债券久期”一词,虽然接触过很多次,但因没有深入了解,所以对此部分知识点还不是很熟悉。因此,投股网主编人员为大家系统整理了一下相关知识点,详情如下所示:
第一、什么是债券久期
所谓债券久期是债券投资的专业术语,反映的是债券价格相对市场利率正常的波动敏感程度,也就是债券持有到期时间。现在,它是债券投资重要参考指标之一。另外,久期越长,债券对利率敏感度越高,其对应风险也越大。投资者们可以透过债券久期在其所持债券实际到期日时回购债券,进而保障自己的收益。
第二、如何计算债券久期
债券久期计算公式有三种,分别是:
公式一:

【注意:D表示久期;B是债券当前市场价格;PV(Ct)是债券未来第t期可现金流现值;T是到期时间】
公式二:

【注意:D是久期;t是时间;Ct是第t期的现金流;F是面值或者到期日价值;n是到期期限;i是当前市场利率】
公式三:

【注意:P是市场价格】
为方便大家更好地理解这部分知识,现在举例为大家解释说明:
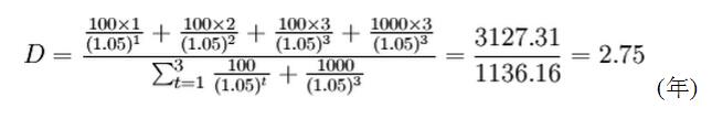
假如某只变通债券面值为1000元,期限是3年,需每年支付一次息票,年息票率是10%,此时的市场利率是12%,那么该债券久期是多少?
该债券久期如下:

若其他条件不变,市场利率下降到5%,那么此时的该债券久期为

同样的若其他条件不变,市场利率上涨到20%,久期就应该是

再者,若其他条件不变,债券息票率变为0,那么,久期是

从以上案例中,我们可以看出,久期和市场利率成反比。另外,在投资者持有期间不支付利息的金融工具,其久期就等于到期期限或者是偿还期限。
以上内容就是和大家分享的债券久期相关知识点,希望对广大投资者们能够有所帮助。另外,如果大家还想学习其他债券知识,请继续关注本栏目的更新。